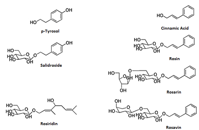
Rhodiola rosea extract is extracted from the root of Rhodiola rosea L. Commonly used to treat headache and lung disorders, eliminate fatigue and prevent stress. Phenylpropanoid glycoside constituents (rosin,rosavin, rosarin) are believed to beimportant for certain activities.
Rhodiola Rosea Extract
Rosavins HPLC1-5%
